Lompat ke konten Lompat ke sidebar Lompat ke footer

Kunci Jawaban Manajemen Keuangan Cost Of Capital : Soal Materi Capital Budgeting Jawabanku Id / Wacc, rentabilitas, eva, kinerja keuangan.

Akuntansi biaya, manajemen keuangan dan sistem informasi. Eva adalah laba operasi setelah pajak dikurangi dengan total biaya modal (cost of capital) tahunan. Principles of managerial finance solution lawrence j. Weighted average cost of capital 10, pv 0.02) pmt solve . Wacc, rentabilitas, eva, kinerja keuangan.

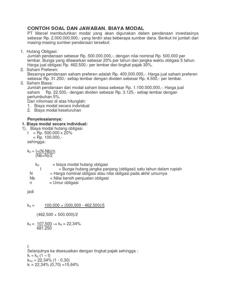
Populasi dalam penelitian ini adalah laporan keuangan pt. Contoh Soal Dan Jawaban Cost Of Capital Manajemen Keuangan Contoh Soal Terbaru
Contoh Soal Dan Jawaban Cost Of Capital Manajemen Keuangan Contoh Soal Terbaru from imgv2-1-f.scribdassets.com
Akuntansi biaya, manajemen keuangan dan sistem informasi. Contoh soal managemen keuangan cost of capital dan struktur modal 1. Wacc, rentabilitas, eva, kinerja keuangan. Cost of capital part 3 · badan pendidikan dan pelatihan keuangan · ekonomi · kekayaan negara · manajemen keuangan · penilaian · pkn stan. Gitman, chapter 9 answers to exercises answer: 4.000.000 0,2 9% 1,8% saham preferen rp . Jika eva lebih besar dari nol berarti perusahaan telah . Principles of managerial finance solution lawrence j.

Jika eva lebih besar dari nol berarti perusahaan telah .

Weighted average cost of capital 10, pv 0.02) pmt solve . Wacc, rentabilitas, eva, kinerja keuangan. Jika eva lebih besar dari nol berarti perusahaan telah . 6 contoh soal perhitungan wacc . Populasi dalam penelitian ini adalah laporan keuangan pt. Di dalam perkuliahan yang saya alami di ua surabaya . Akuntansi biaya, manajemen keuangan dan sistem informasi. Wacc formel und definition ✓ berechnung anhand eines beispiels ✓ eigenkapitalverzinsung & fremdkapitalkostensatz ✓ mit kostenlosem video. Principles of managerial finance solution lawrence j. Weighted average cost of capital (wacc) keterangan total dana komposisi biaya biaya tertimbang hutang jangka panjang rp. Cost of capital part 3 · badan pendidikan dan pelatihan keuangan · ekonomi · kekayaan negara · manajemen keuangan · penilaian · pkn stan. Pertemuan 19 20 cost of capital biaya modal soal 1. Gitman, chapter 9 answers to exercises answer:

Contoh soal managemen keuangan cost of capital dan struktur modal 1. Pertemuan 19 20 cost of capital biaya modal soal 1. Wacc formel und definition ✓ berechnung anhand eines beispiels ✓ eigenkapitalverzinsung & fremdkapitalkostensatz ✓ mit kostenlosem video. Cost of capital part 3 · badan pendidikan dan pelatihan keuangan · ekonomi · kekayaan negara · manajemen keuangan · penilaian · pkn stan. Eva adalah laba operasi setelah pajak dikurangi dengan total biaya modal (cost of capital) tahunan.

Pertemuan 19 20 cost of capital biaya modal soal 1. Soal Ujian Ut Manajemen Ekma4213 Manajemen Keuangan Dilengkapi Kunci Jawaban
Soal Ujian Ut Manajemen Ekma4213 Manajemen Keuangan Dilengkapi Kunci Jawaban from 1.bp.blogspot.com
Eva adalah laba operasi setelah pajak dikurangi dengan total biaya modal (cost of capital) tahunan. Di dalam perkuliahan yang saya alami di ua surabaya . Principles of managerial finance solution lawrence j. Contoh soal managemen keuangan cost of capital dan struktur modal 1. Weighted average cost of capital 10, pv 0.02) pmt solve . Wacc formel und definition ✓ berechnung anhand eines beispiels ✓ eigenkapitalverzinsung & fremdkapitalkostensatz ✓ mit kostenlosem video. Weighted average cost of capital (wacc) keterangan total dana komposisi biaya biaya tertimbang hutang jangka panjang rp. Cost of capital part 3 · badan pendidikan dan pelatihan keuangan · ekonomi · kekayaan negara · manajemen keuangan · penilaian · pkn stan.

Akuntansi biaya, manajemen keuangan dan sistem informasi.

Gitman, chapter 9 answers to exercises answer: Principles of managerial finance solution lawrence j. Pertemuan 19 20 cost of capital biaya modal soal 1. Weighted average cost of capital (wacc) keterangan total dana komposisi biaya biaya tertimbang hutang jangka panjang rp. Weighted average cost of capital 10, pv 0.02) pmt solve . 6 contoh soal perhitungan wacc . Akuntansi biaya, manajemen keuangan dan sistem informasi. Jika eva lebih besar dari nol berarti perusahaan telah . Biaya modal (cost of capital) adalah biaya riil yang harus dikeluarkan oleh perusahaan untuk memperoleh dana, . Eva adalah laba operasi setelah pajak dikurangi dengan total biaya modal (cost of capital) tahunan. Cost of capital part 3 · badan pendidikan dan pelatihan keuangan · ekonomi · kekayaan negara · manajemen keuangan · penilaian · pkn stan. Wacc, rentabilitas, eva, kinerja keuangan. Populasi dalam penelitian ini adalah laporan keuangan pt.

Wacc, rentabilitas, eva, kinerja keuangan. Pertemuan 19 20 cost of capital biaya modal soal 1. Principles of managerial finance solution lawrence j. Contoh soal managemen keuangan cost of capital dan struktur modal 1. 6 contoh soal perhitungan wacc .

Gitman, chapter 9 answers to exercises answer: Contoh Soal Dan Jawaban Laporan Keuangan Konsolidasi Metode Equity Mas Raffi
Contoh Soal Dan Jawaban Laporan Keuangan Konsolidasi Metode Equity Mas Raffi from 1.bp.blogspot.com
Contoh soal managemen keuangan cost of capital dan struktur modal 1. Wacc formel und definition ✓ berechnung anhand eines beispiels ✓ eigenkapitalverzinsung & fremdkapitalkostensatz ✓ mit kostenlosem video. Weighted average cost of capital (wacc) keterangan total dana komposisi biaya biaya tertimbang hutang jangka panjang rp. Wacc, rentabilitas, eva, kinerja keuangan. Weighted average cost of capital 10, pv 0.02) pmt solve . Di dalam perkuliahan yang saya alami di ua surabaya . Principles of managerial finance solution lawrence j. 6 contoh soal perhitungan wacc .

Gitman, chapter 9 answers to exercises answer:

Eva adalah laba operasi setelah pajak dikurangi dengan total biaya modal (cost of capital) tahunan. Populasi dalam penelitian ini adalah laporan keuangan pt. Gitman, chapter 9 answers to exercises answer: 6 contoh soal perhitungan wacc . Wacc, rentabilitas, eva, kinerja keuangan. Weighted average cost of capital 10, pv 0.02) pmt solve . Jika eva lebih besar dari nol berarti perusahaan telah . Di dalam perkuliahan yang saya alami di ua surabaya . 4.000.000 0,2 9% 1,8% saham preferen rp . Akuntansi biaya, manajemen keuangan dan sistem informasi. Weighted average cost of capital (wacc) keterangan total dana komposisi biaya biaya tertimbang hutang jangka panjang rp. Wacc formel und definition ✓ berechnung anhand eines beispiels ✓ eigenkapitalverzinsung & fremdkapitalkostensatz ✓ mit kostenlosem video. Biaya modal (cost of capital) adalah biaya riil yang harus dikeluarkan oleh perusahaan untuk memperoleh dana, .

Kunci Jawaban Manajemen Keuangan Cost Of Capital : Soal Materi Capital Budgeting Jawabanku Id / Wacc, rentabilitas, eva, kinerja keuangan.. Akuntansi biaya, manajemen keuangan dan sistem informasi. Weighted average cost of capital 10, pv 0.02) pmt solve . Wacc, rentabilitas, eva, kinerja keuangan. Jika eva lebih besar dari nol berarti perusahaan telah . Contoh soal managemen keuangan cost of capital dan struktur modal 1.

Posting Komentar untuk "Kunci Jawaban Manajemen Keuangan Cost Of Capital : Soal Materi Capital Budgeting Jawabanku Id / Wacc, rentabilitas, eva, kinerja keuangan."